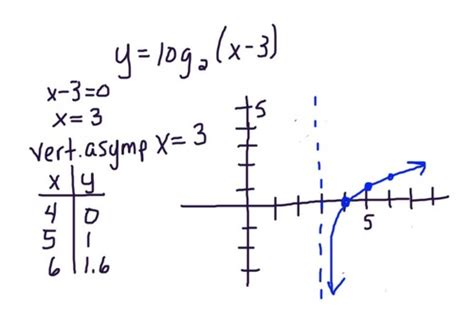
Estelle Hart Blog